在正常情況下, 用電設備不但要從電源取得有功功率, 同時還需要從電源取得無功功率。如果電網中的無功功率供不應求, 用電設備就沒有足夠的無功功率來建立正常的電磁場, 在額定情況下, 用電設備的端電壓就會下降, 從而影響用電設備的正常運行。發電機和高壓輸電線供給的無功功率, 遠遠滿足不了負荷的需要, 所以在電網中要設置一些無功補償裝置來補充無功功率, 以保證用戶對無功功率的需要, 使用電設備在額定電壓下正常工作。無功功率對供、用電產生的不良影響主要表現在:
(1) 降低發電機有功功率的輸出。
(2) 降低輸、變電設備的供電能力。
(3) 造成線路電壓損失增大和電能損耗增加。
(4) 造成低功率因數運行和電壓下降, 使電氣設備容量得不到充分發揮。
目前水泥廠無功補償的方式主要有高壓集中補償、低壓集中補償、高壓電機機旁補償。本文重點討論低壓集中補償在設計選型中的一些問題。
近幾年, 隨著變頻器設備、開關電源、氣體放電等各種非線性設備的大量使用, 電容器裝置運行環境日益惡化, 我公司在埃及、馬來西亞等項目中低壓補償出現較多問題。在國內我們過去設計的水泥廠低壓電容器的故障率也是較高的, 這主要是由于我們對電容器柜內的元件選型認識不足, 特別是串聯電抗器和電容器的投入都會影響電容器端的電壓。
1 接線方式
低壓并聯電容器裝置的三種接線方式分別是三角形接線、帶中性點的星形接線和不帶中性線的星形接線。
三角形接線方式對3次及3的整數倍諧波不形成通路, 不受背景諧波中3次諧波的影響。此接線只能進行三相共補, 不能進行分相補償。
帶中性線的星形接線, 其引出中性線為3次諧波流動提供路徑。考慮3 次諧波流過電容器, 為避免發生3次諧振而造成電容器過載, 常采用提高串聯電抗器的電抗率措施, 這會導致投資增加。該接線方式的優點是, 不僅能進行三相共補, 也能進行分相補償。
不帶中性線的星形接線對3次諧波也不形成通路, 不受外部3 次諧波的影響, 只能進行三相共補, 不能進行分相補償。該接線方式的缺點是, 當某一相電容器發生故障擊穿形成短路后, 剩余兩相因承受線電壓而同時損壞;或者三相電容器因自身電容誤差會導致該接線的中性點漂移, 使某一相電容器承受電壓超過額定值而損壞。
綜上所述, 在水泥廠的工程設計中, 三相負荷基本平衡, 無需分相補償, 只需三相共補, 因此只需要三角形接線方式, 自動投切控制器只需檢測一相負荷電流即可。
2 投切裝置的選擇
目前常用的低壓并聯電容器投切裝置主要有兩種, 電容器投切專用接觸器和可控硅開關。
與普通交流接觸器相比, 電容器投切專用接觸器可以降低投切時的涌流和過電壓, 無壓降、控制簡單、成本低。缺點是不能夠完全抑制投切時產生的涌流和過電壓, 關斷時產生拉弧, 造成接觸器壽命變短。
可控硅投切開關利用電子開關反應速度快的特點是在電壓過零點導通, 實現無涌流投入;在電流過零點關斷, 不會產生拉弧;無觸點, 使用壽命長。缺點是可控硅在導通運行時, 可控硅結間會產生大約0.7V的壓降, 通常30kvar三角形接線的電容器額定電流為46A, 則一個可控硅所消耗功率約為32W。同時可控硅裝置自身會產生諧波, 關斷期間還會產生電流泄漏, 使用成本也較高。
對于負荷變化快、用電設備對電壓質量要求較高的場合, 建議選用可控硅開關作為投切裝置。對于水泥廠來說設備一旦運行, 無功的需求相對穩定, 所以水泥廠電容器的投切建議選用專用接觸器投切, 但接觸器的容量要適當加大。
3 電容器的選擇
選擇電容器時, 一般要考慮電壓、電網諧波、補償容量及電容器保護等因素。
電容器的容量與運行電壓平方成反比, 選擇電容器額定電壓應從實際電容器容量和其耐壓能力來考慮。電容器額定電壓至少等于接入電網的運行電壓, 同時還要考慮接入后電網電壓升高、電網諧波電壓的存在使電壓升高以及為降低諧波影響而串聯電抗器后的電容器端子上電壓升高。
并聯電容器接入電網后, 導致母線運行電壓升高, 此值可由式 (1) 計算:

式中:
ΔU——母線電壓升高值, kV
USO——并聯電容器裝置投入前的母線電壓, kV
S——母線三相短路容量, MVA
Q——母線上所有運行的電容器容量, Mvar
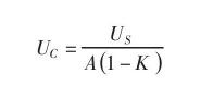
串聯電抗器后, 電容器端子上電壓升高, 其值可按照公式 (2) 計算:

式中:
UC——電容器運行電壓, kV
US——并聯電容器裝置的母線運行電壓, kV
K——電抗率
A——接線系數, 星形接線取
, 三角形取1
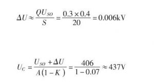
舉例說明, 一臺300kvar并聯電容器裝置, 串聯電抗率7% (目前設計采用的經驗值) , 投入前母線電壓為0.4kV, 母線短路容量為20MVA, 根據公式 (1) 可得母線電壓升高值:

由式 (2) 可得電容器端子上所加電壓為:
考慮諧波存在會使電壓升得更高, 可選額定電壓480V的電容器。
4 高次諧波對并聯電容器的影響及抑制諧波
非線性用電設備的廣泛應用 (如電動機調速設備、整流設備、電弧爐、磁飽和變壓器、照明控制系統、辦公自動化設備、開關電源、不間斷電源、電子鎮流器、電焊設備、電子控制機構等) , 使電力系統存在許多諧波源。如果直接接入并聯電容器, 電容器是容性阻抗, 并且阻抗和頻率成反比, 因此電容器容易吸收諧波電流引起過載發熱。另外, 由于回路參數的變化, 使得容性阻抗與感性阻抗相等時容易產生諧波諧振, 在串聯諧振時一個小的諧振電壓就可產生較大的諧波電流, 增加電容器發熱, 導致絕緣擊穿事故。基波電壓和諧波電壓疊加, 會增加局部放電次數, 降低電容器壽命。
4.1 串聯電抗
為了抑制諧波, 在電容器裝置中宜串聯電抗, 通過選擇電容、電抗參數避開諧振點。等效電路如圖1 所示。
圖1 并聯電容器等效電路圖 ??下載原圖
當LC串聯回路阻抗Z=XL-XC=0 時會發生諧振, 因此諧波條件下:

式中:
K——電抗率
f——諧波頻率
fn——基波頻率LC
對諧波源來講LC串聯回路應保持感性。根據上述公式可知, 當抑制3 次諧波時串聯電抗率K取12%~13%;當抑制5 次諧波時取4.5%~7%;當抑制7 次諧波時取3%;當抑制9次諧波時取2%。串聯LC回路的諧振頻率必須低于系統出現的最低次的諧波頻率。因為這時串聯LC回路可能出現的諧波頻率均高于諧振頻率, 回路為感性, 不可能再激活任何諧振;如果LC回路諧振頻率高于任何可能出現的諧振頻率, 回路為容性, 與感性負載又可能產生諧振回路。
另外, 串聯電抗可有效抑制電容器投入電網時產生的涌流, 防止和減輕開斷電容器組時發生的重燃。
4.2 串聯電抗應注意的問題
串聯電抗后, 在串聯電抗器上存在一個電壓降, 導致電容器的基波電壓升高, 電抗率越高, 電壓增加越大。實際加在電容器上的電壓:
式中:
UC——電容器實際電壓
Un——系統標稱電壓
無功功率輸出量:

式中:
QC——選擇電壓下應輸出的無功補償容量
Qn——標稱電壓下標稱無功補償容量
比如, 系統標稱電壓400V, 電容器標稱容量30kvar, 電容器裝置配6%的電抗器, 則電容器的實際電壓:

因此選用440V電容器。
選擇電壓下應輸出的無功:

5 結語
在選擇接線方式、投切裝置、電容器及電抗器的參數時, 需要綜合考慮他們之間的關系, 而這僅是低壓并聯電容器裝置設計需要考慮的部分因素, 還要結合其他相關因素來考慮, 如自動投切的步數、控制器的性能、保護措施及保護設備的性能等。
