0 引言
隨著半導體技術的飛速發展, 高壓、大電流電力電子設備在各行各業的應用越來越廣泛, 而作為設備核心的IGBT功率半導體組件容量等級也日趨增大。目前單個IGBT功率半導體組件容量已達MW級別, 這就要求處于直流支撐環節的DC-Link電容容量、體積等技術同步。
對于變流器, 目前工業市場應用最為廣泛的是交直交電壓型設備, IGBT功率組件擔任AC/DC、DC/AC或DC/DC變換任務。為保證變流器的直流電壓穩定性, 在直流側并聯的DC-Link電容器以吸收高幅值脈動電流為目的[1]。
目前薄膜電容在很多行業以其高耐壓、高安全性能指標占領了大部分市場, 但在一些特殊應用場合, 大容量電解電容仍具有相當的應用前景, 對其正確的應用手段仍不容忽視。
本文從DC-Link電容的串并聯和結構散熱方式兩方面, 結合紋波電流對電容溫升的影響, 從實際應用的角度, 提出一種電解電容的串并聯及散熱結構方式, 有效地解決了電解電容的發熱問題, 同時也提高了其安裝牢固性及拆裝便利性。
1 電解電容器
電解電容器的正極通常為金屬箔, 電解質為其絕緣氧化層, 作為電容器的負電極。
本文的分析以鋁電解電容器為基礎。相較于沒有極性、絕緣電阻高、介質損失小和頻率特性好的薄膜電容來說, 鋁電解電容器具有如下優點:
(1) 額定容量大;
(2) 單位體積的電容量大;
(3) 價格實惠。
當然, 鋁電解電容器也具有一些明顯的缺點:
(1) 壽命有限;
(2) 溫度引起的特性變化比較大;
(3) 使用在非正常條件時, 電容內壓易上升造成壓力閥動作;
(4) 電解液是易燃物。
1.1 鋁電解電容原理
鋁電解電容器是有極性的電容, 它的正極采用鋁箔, 經過陽極氧化處理后, 在其表面生成一層三氧化二鋁薄膜, 形成正、負極板間。電容器的負極由電解質構成, 電解液一般由硼酸、氨水、乙二醇等組成。為了便于電容器的制造, 通常是把電解質溶液浸漬在特殊的紙上, 再用一條原態鋁箔與浸過電解質溶液的紙貼合在一起, 這也方便在原態鋁箔帶上引出電容的負極, 如圖1所示。
圖1 鋁電解電容內部結構
1.2 電容損耗
DC-Link電容是儲能元件, 理想的情況下, 電容自身不會有能量損失。但實際上, 因為制造電容的材料存在電阻, 電容的絕緣介質就會有損耗。該損耗在外部看來像一個電阻跟電容串聯在一起, 被稱為“等效串聯電阻”。DC-Link電容的簡易等效電路如圖2所示。
圖2 電容等效電路圖
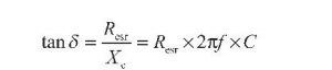
因此, 電容的功率損耗為
式中:f—電容兩端紋波電壓頻率;tanδ—介質損耗角正切值;U—電容兩端紋波電壓值。
同時,

式中:Resr—等效串聯阻抗。
結合式 (1) 和式 (2) 得到
式中:Ic—電容上的紋波電流。
由式 (3) 可以看到, DC-Link電容損耗跟流過其兩端的紋波電流及電容自身參數有關。
需要指出的是電解電容的總溫升實際是由兩部分組成:一部分是由紋波電流與Resr產生的損耗引起, 另一部分則是由漏電流損耗引起。但是后一部分損耗相對較小, 通常忽略不計。
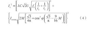
根據文獻[2]和文獻[3], DC-Link電容紋波電流有效值為

式中:
λ—Δu/Umax;
Δu—直流母線電壓波動;
U—電容兩端紋波電壓值;
fs—整流輸出頻率;
tc、tf—直流母線電容器充、放電時間;
Io.rms—逆變輸出電流額定值;
M—調制比;
cosφ—功率因數。
結合式 (3) 、式 (4) 可知, 電容損耗與紋波電流、Resr的變化成正比, 與容值、直流電壓波動、功率因數、調制比、電容內部參數等均相關[4-5]。
在拓撲電路參數已定的情況下 (電容容值、直流電壓波動、功率因數、調制比等已定) , 與電解電容的選型有很大的關系, 特別與電解電容Resr有直接關系。
因此, 這就要求選擇Resr更小、承受紋波電流能力更強的鋁電解電容。
2 電解電容應用分析
合理選擇DC-Link電容時, 在電路總容值、紋波電流等確定的情況下, 只考慮電解電容器的串并聯方式、Resr大小及散熱方式等[6]。
2.1 電解電容的選型
以某工業變流器為實例, 其主要參數為:直流母線電壓1 050 V、DC-Link電容總容值為4.8 m F、輸出三相額定電流600 A。考慮到電解電容的經濟性及通用性, 選擇450 V電壓等級, 具體待選型號參數如表1所示。
表1 電解電容參數表
綜合考慮, 以下面2種選型方式為主。
方案1:
額定容值為8 200μF、直徑90 mm的電容, 采用3串2并方式, 總容值為
8.200×2/3≈5.4 m F
總紋波電流承受能力 (有效值)
80.5×2=161 A
根據式 (3) 、式 (4) , 紋波電流為
Ic≈165 A
則每串電容的紋波電流值為
Ic1≈82.5 A
那么, 單位面積的損耗為
P≈267.8 W/m2
方案2:
額定容值為3 900μF、直徑64 mm的電容, 采用3串4并方式, 總容值為
3.900×4/3=5.2 m F
總紋波電流承受能力 (有效值)
45×4=180 A
則每串電容的紋波電流值為
Ic1≈41.25 A
那么, 單位面積的損耗為
P≈148.7 W/m2
由以上數據可知2種方案的總容值都滿足系統需求, 但方案2的總紋波電流承受能力比方案1大12%, 單位面積損耗較方案1小80.1%。
在同一個體積中, 2種方案的結構布置如圖3所示。
圖3 支撐電容布局示意圖
因此, 在結構允許、散熱允許的情況下, 適當增加電解電容的并聯數量可以提高DC-Link系統的耐紋波電流能力, 降低單位面積損耗, 更加利于分散發熱源、增加散熱面積。
2.2 散熱方式分析
在確定了電解電容型號、串并聯結構、電路拓撲參數的基礎上, 電容的損耗就基本確定了, 與此同時電容的發熱量也就確定了。
根據圖1, 鋁電解電容的基本結構為箔式卷繞型, 其陽極為金屬鋁箔, 電介質是用電化學方法在陽極金屬箔表面上形成的三氧化二鋁薄膜, 陰極為多孔性電解紙所吸附的工作電解質 (電解質可以是液體或固體) [7]。
電解電容正負極端子分別從正、負極箔中引出, 由于電解質中通常采用電解液作為電解質, 而電解液由鋁外殼承裝, 因此電解電容的鋁外殼與負極端子相連通。鋁外殼底部留出的固定螺柱內部凸起與負極金屬箔緊密連通, 一方面加強金屬箔和電解紙的安裝固定;另一方面, 將金屬箔上的熱量以導熱的形式傳遞到鋁外殼上進行散熱, 避免內部芯子熱量集中而導致溫升過大。
由于鋁外殼與電極負端子相通, 為安全起見, 鋁外殼外面通常采用絕緣套管包裹, 且鋁外殼內側壁與金屬箔之間存在5 mm左右的間隙 (保證電解液的流通) 。電解電容主要的發熱源為中間的芯子部位, 主要的散熱形式有: (1) 通過鋁外殼底部內側凸起與芯子的緊密接觸形成導熱, 通過外殼進行散熱。由于鋁外殼外面包裹了絕緣套管, 很大程度上增加了散熱熱阻, 散熱效果不佳。 (2) 通過鋁外殼底部外側固定螺栓與空氣直接接觸散熱。由于該處螺栓散熱面積有限, 且通常采用絕緣板安裝固定, 與空氣接觸面積大大減小, 散熱效果受到了極大限制。 (3) 由于電解電容正負極端子是采用鋁箔引線連接到正負極金屬箔上, 能夠很好地將熱量引出到正負極端子上, 而正負極端子與銅材料的復合母排緊密接觸, 能夠很好地將熱量引出到銅母排上進行散熱, 有一定的散熱效果。
下面針對上述的2種串并聯方案進行具體分析。
方案1:
布局如圖4, 采用常規的散熱方法, 即強迫風冷, 對電容圓柱外殼進行吹風散熱。電解電容安裝在四周封閉固定板風道中, 側面安裝2只風機進行抽風散熱, 如圖5所示, 風機額定流量1.92 m3/min, 進口風速約4 m/s。
圖4 散熱結構布局圖
圖5 電解電容布局結構簡圖
三相交流輸出電流600 A、直流1 050 V時, 實測電容芯子溫度和外殼溫度分別為82.3℃和36.8℃, 參考環境溫度15.9℃, 芯子溫升和外殼溫升分別為66.4 K和20.9 K。芯子溫升過大, 其溫度已接近電容最大允許溫度, 其壽命難以保證。
該散熱方法主要是通過強迫風冷吹電解電容外殼的方法進行散熱, 效果不理想。
方案2:
通過對電解電容內部結構和散熱方式的進一步理解, 以及對該功率單元內電解電容的不斷試驗測試, 認為方案1的散熱方式很難達到要求, 為此針對原有結構布局, 同時考慮3串4并的電容選型方案, 重新做出優化改進, 如圖6所示。 (1) 采用容值為3 900μF、直徑64mm的電容, 3串4并的布局方式替代方案1。 (2) 電解電容底部固定螺栓處增加導熱性能優良的散熱翅片, 并利用其結構強度作為安裝固定。 (3) 將電容器穿過擋板, 并以擋板為分界形成左右2個風道。 (4) 風機安裝在功率組件底部進行吹風, 左邊風吹散熱翅片和部分電容外殼, 右邊風吹電容正負極端子及其連接的復合母排。
圖6 改進后散熱結構布局
根據此布局方式改進的樣機, 在同樣的電路參數下進行測試, 電容芯子最高溫度73.1℃, 外殼溫度49.1℃, 參考環境溫度30.6℃, 電容芯包溫升為42.5 K, 外殼溫升為18.5 K。
由方案1和方案2實測數據比較可知, 方案2比方案1電解電容芯子溫升降低了23.9 K, 散熱效果有明顯的改善。
綜上所述, 對于電解電容散熱而言, 著重需要注意的是: (1) 強迫風冷散熱時, 盡量采用抽風形式, 且應有一定的風道長度便于均勻風速。 (2) 電解電容底部固定螺栓能很好地將內部熱量導出, 利用合理的散熱設計可以很大程度降低電容內部溫升。 (3) 電解電容正負極端子具有導熱效果, 對其進行導熱及散熱設計, 可以在一定程度上降低電容溫升。
3 結語
(1) 電解電容器發熱是其應用過程中不可避免的難點, 主要危害是大大降低了電解電容器的運行及使用壽命, 從而影響到變流裝置的穩定性和可靠性。本文根據實際工程應用問題, 對電解電容原理、內部結構、發熱原因和散熱方式進行分析, 通過合理正確的選型方法, 提高電解電容的耐紋波能力及發熱處理能力。
(2) 對如何有效地解決電解電容發熱的問題提出了實際的解決方案, 并通過樣機實際測試數據對比分析, 結合理論分析結果, 設計出一種有效降低電解電容溫升的散熱固定方式, 能很好地保證電容溫升在可控范圍內, 極大地提高了變流裝置的運行可靠性及使用壽命, 對工程實際應用具有指導作用。
