前言
電解電容是電子電路設計中最重要的元器件之一。隨著電子產品設計可靠性要求的逐步提高和電解電容制造工藝水平的不斷改進, 電解電容的耐久性壽命水平也越來越高。以變頻空調器設計中使用的電解電容為例, 最高耐久性壽命可達20000h, 按照常規的檢測方法進行耐久性壽命檢驗將耗費大量的試驗時間和資源, 且嚴重影響新產品的開發速度。為了提高檢驗效率, 最大限度的滿足設計生產的需要, 同時達到節省物料檢驗成本的目的, 本文通過試驗方法對電解電容在不同溫度條件下的壽命衰減情況進行了研究和分析, 初步驗證了溫度與其壽命變化趨勢之間的規律, 為縮短電解電容壽命試驗周期提供了一種有效的途徑。
1 元器件加速壽命試驗簡介
加速壽命試驗指的是為解決壽命試驗樣品數量和試驗時間之間的矛盾, 在不改變元器件失效機理的前提下, 采用加大試驗應力 (諸如熱應力、電應力、機械應力等) 的方法, 激發產品在短時間內產生跟正常工作應力水平下相等的失效, 縮短試驗周期, 以便在較短的時間內取得加速情況下的失效率、平均壽命等數據, 然后運用試驗數據分析建立加速壽命模型, 從而快速評估產品在正常工作應力下的可靠性特征。
目前常用的加速壽命試驗方法分以下三種:
(1) 恒定應力加速壽命試驗
該試驗方法是在固定的高于正常工作條件下的應力水平下進行壽命試驗。
(2) 步進應力加速壽命試驗
該試驗方法是在逐級遞增的應力水平下進行壽命試驗。
(3) 序進應力加速壽命試驗
該試驗方法是在應力水平隨時間等速升高的條件下進行壽命試驗。
上述三種加速壽命試驗方法, 第 (2) 、 (3) 種方法對試驗設備的要求比較高, 試驗成本比較高, 適用于對產品的設計改進階段。就一般非元器件專業制造廠家而言, 最具有可操作性和實用性的應該是第 (1) 種恒定應力加速壽命試驗。雖然這種方法的試驗時間相對而言不是最短的, 但比我們通常的普通的壽命試驗也已經縮短了不少, 因此該方法非常具有實用性。
2 元器件加速壽命試驗的常用模型
加速壽命試驗的核心問題是計算出加速因子。所謂加速因子, 指元器件在正常工作應力下的壽命與加速環境下的壽命之比, 通俗一點說就是同樣時間 (比如1h) 的加速壽命試驗相當于正常使用條件下的時間是多少。
但是, 電子元器件在實際使用過程中的失效機理是十分復雜的, 其可靠性往往受很多綜合因素影響, 在試驗室條件下是不可能用一種模型來模擬的, 但是可以考慮一些主要因素 (比如溫度、濕度、電流、電壓等) , 建立簡化模型。
下面介紹幾種常用的加速壽命試驗模型。
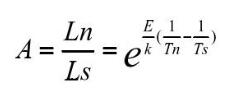
2.1 Arrhenius模型 (溫度加速)
本模型 (阿倫尼斯模型) 考慮的環境應力因素為溫度, 通過提高溫度來進行加速壽命試驗。

其中,
Ln為正常工作溫度下的壽命 (單位為h) ;
Ls為加速溫度條件下的壽命 (單位為h) ;
Tn為正常工作溫度 (單位K) ;
Ts為加速壽命試驗的溫度 (單位K) ;
E為失效反應的活化能 (單位ev) ;
k為波爾茲曼常數, 8.62×10-5ev/k。
實踐表明, 絕大多數電子元器件的失效符合Arrhenius模型。
2.2 Eyring模型 (電壓加速)

其中, U為電壓加速因子, Us為加速試驗電壓 (單位V) , Un為正常工作電壓 (單位V) , ?為電壓的加速率常數。
2.3 Hallberg和Peak模型 (濕度加速)

其中, H為濕度加速因子, RHs為加速試驗相對濕度, RHn為正常工作相對濕度, n為濕度加速率常數, 不同的失效類型對應不同的值。
2.4 Coffin-Mason模型 (溫度變化加速)

其中, T為溫度變化加速因子, △TS為加速試驗下的溫度變化 (單位K) , △TN為正常應力下的溫度變化, n為溫度變化的加速率常數, 不同的失效類型對應不同的值, 一般介于4~8之間。
3 電解電容加速壽命試驗方法的探討
從電解電容的失效機理來看, 影響電解電容的耐久性壽命的主要因素是溫度 (溫度影響電解液的揮發) 。隨著的溫度的升高, 其壽命的衰減趨勢很明顯。在現有試驗室條件下, 通過對溫度的操作來研究電解電容的加速失效是完全可行的, 因此選用上述Arrhenius模型 (溫度加速) 來探討電解電容的加速壽命試驗方法。而本文作者所在的企業為專業化空調生產企業, 因此就以空調器的控制器設計中最常用的電解電容作為研究對象。
3.1 研究方案
選擇四類最常見的電解電容 (額定壽命1000h) 進行試驗研究和分析, 它們分別是:
(1) 電解電容10μF/25V/85℃
(2) 電解電容470μF/25V/85℃
(3) 電解電容10μF/25V/105℃
(4) 電解電容470μF/25V/105℃ (實驗數據見表1、表2)
通常我們所說的電解電容的失效指的是其關鍵參數在一定條件下衰減到不符合我們的使用要求的程度, 而不是指完全意義上損壞?;谶@一點, 我們就以電解電容的三個關鍵參數為基準:容量、漏電流、損耗角正切值, 通過具體試驗來分析在不同溫度條件下其性能參數的衰減情況, 通過對比分析, 從而得到其加速條件下和常規條件下的等效規律。
電解電容本身是有一定的承受限度的, 超過了其能夠承受的溫度范圍, 會急劇衰減, 徹底損壞, 這樣的溫度條件對于研究工作已經沒有意義, 因此提高溫度也要有一定的限度, 不是溫度越高越好, 因此筆者選取最高提高40℃為限值。
3.2 數據記錄與分析
按照上述研究方案共得到了24組試驗數據, 每一組數據包括容量、漏電流和損耗角正切值三個參數的具體數值 (試驗數據較多, 本文不再一一列出, 僅列舉幾例, 見表3) 。筆者對這24組數據進行了詳細的分析, 做出了其參數變化曲線, 通過曲線擬合出了其參數隨溫度變化的數學表達式 (多項方程) 。
表1 研究樣品分組 (1)


額定溫度85℃的10μF電解電容在經過1000h (額定壽命) 后其三個關鍵參數的變化情況如表4。
那么按照將溫度提高到105℃后的試驗數據所擬合出的多項式方程 (方法與圖1、圖2和圖3所示例的一樣) 就可以推導出達到與表4中相同的衰減參數所需要的時間, 經過推算可得知加速之后所需要的時間大約為237.65h~266.67h。同理, 可以推算出相同容量的額定溫度為105℃的電解電容在將試驗溫度提高到125℃后所需要的時間約為297.19h~316.95h。
基于同樣的原理可以對所有的24組試驗數據進行分析 (數據較多, 本文不再一一推導) 。

3.3 加速因子推算
以電解電容10μF/25V/85℃為例進行分析。通過對實際試驗數據的分析, 依據“參數衰減量相同”的原則可以得知, 當溫度提高20℃ (即105℃) 后其壽命試驗的時間可以縮短為250h~300h之間, 因此加速因子A1為:
而按照Arrheni us模型公式根據兩個溫度參數直接所推導出的加速因子A2為:

通過分析發現, 通過試驗驗證所得到的加速因子A1與通過理論分析所計算出的加速因子A2是完全吻合的。
4 結論
4.1在電解電容所能夠承受的溫度范圍內, 適當的提高壽命試驗的溫度值可以有效地縮短試驗周期 (必須保證其他測試條件與常規測試相同) , 而且其基本規律是溫度每提高10℃其試驗時間大概可以縮短為原來的一半。
4.2通過對試驗數據的分析, 在額定電壓、額定溫度相同的情況下, 在同一工作溫度條件下, 其容量越大, 失效越快 (即壽命越短) 。因此, 在設計選型的時候, 對于容量越大的電容就越要注意考慮周圍環境溫度因素對電容可靠性的影響。
4.3影響電解電容壽命的因素除了溫度之外, 還有很多其他因素, 例如電路紋波也是影響其壽命的另一個主要因素。如果綜合考慮這些因素, 其壽命試驗的時間還可以進一步縮短, 當然涉及多個因素的時候, 其研究和分析的難度也將進一步加大, 這個可以作為后續研究的方向。
