隨著人口的增多以及用地量越來越少, 換流站常常建立在靠近居民的區域。因此, 在高直流輸電過程中, 換流站中的電容器裝置所輻射出來的噪聲對周邊的居民生活和健康都會產生不利的影響[1–4]。對單個電容器進行降噪是整個換流站中的電容器裝置降噪的基礎。所以, 有必要對電容器的降噪措施進行研究, 減少換流站噪聲對周邊居民的影響。
國內學者對于電容器降噪技術的研究已經取得一定的成果。吳鵬等提出用雙底面結構來降低電容器底面的噪聲, 并在消聲室進行實驗, 實驗結果表明:具有雙底面結構的電容器取得良好的降噪效果, 降噪量約為10 d B[5]。袁劍等提出采用新型的復合降噪材料措施來降低電容器噪聲, 其仿真結果表明:吸聲結構的降噪量可以達到達6 d B[6]。黃國興等設計了復合微穿孔板吸聲結構的電容器, 實驗結論:電容器底部和頂部的噪聲量降低了6 d B~7 d B[7]。甘林等設計了一種波紋管減振器, 實驗表明:電容器底面方向降噪量達到9 d B[8]。上述降噪研究能夠有效地降低電容器噪聲, 但考慮到電容器產品需要具有20年以上正常工作時間的特點, 電容器生產企業采用的方法是在電容器底部增加隔聲腔來降低噪聲。采用在電容器底部增加隔聲腔的方法進行降噪時, 需要通過實驗測試的方法來確定隔聲腔的結構參數。這種實驗測試方法不僅消耗大量的人力物力, 而且會帶來電容器產品周期難以控制的問題。因此, 亟需對電容器底部隔聲腔正向設計與優化方法開展研究。
為了提高電容器底部隔聲腔的設計效率和質量, 本文對電容器底部隔聲腔尺寸優化方法進行研究。首先進行電容器隔聲腔原理和設計理論分析, 通過電容器噪聲實驗確定其底部噪聲的主要貢獻頻率, 并建立隔聲腔有限元模型。然后, 基于LMS Virtual Lab Optimization模塊對隔聲腔結構參數進行優化。設計噪聲對比實驗, 驗證模型的準確性和方法的正確性。
1 電容器底部隔聲腔隔聲機理分析
1.1 電容器底部隔聲腔的隔聲原理
如圖1所示, 從電容器內部傳遞出來的聲波, 一部分聲能Er1被反射, 另一部分聲能Ei1引起隔聲腔第一塊鋼板振動, 并對隔聲腔中的空氣層輻射噪聲。
- 圖1 聲能在隔聲腔中的傳遞
圖1 聲能在隔聲腔中的傳遞 ??下載原圖
由于空氣層具有彈性、減振的作用, 部分聲能得到損失, 當空氣聲碰到第二塊鋼板時, 一部分聲能Er2聲能被反射掉, 而還有一部分Ei2要繼續激起隔聲腔第二塊鋼板的振動, 向著隔聲腔第二塊鋼板外輻射聲音ET2, 由于兩塊鋼板的不連續性, 使得聲音得到降低[9]。我們可以把電容器底部隔聲腔等效成為一個“質量-彈簧-質量”振動模型。
1.2 電容器底部隔聲腔設計理論
目前電容器廠使用的電容器都是單底面結構, 推導出從內部油到外部空氣的電容器底部聲壓透射系數tp1為[10]
式中R12為電容器內部絕緣油的聲阻抗與外殼聲阻抗的比值;R23為外殼聲阻抗與空氣聲阻抗之間的比值;d為電容器底面厚度;w為噪聲角頻率;c2為電容器底面外殼中的聲速。
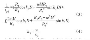
推導出電容器底部隔聲腔聲壓透射系數tp2表達式為[11–12]

式中M為殼體的單位面積質量;R1為電容器內部絕緣油的聲阻抗;R2為電容器外殼底面的聲阻抗;R3為空氣的聲阻抗;D為電容器底部隔聲腔中空氣層的厚度;c3為空氣中的聲速。
電容器單底面和電容器底部隔聲腔的隔聲量L可以表示為
根據某電容器生產企業實際加工的電容器產品可知, 電容器殼體厚度為2 mm, 隔聲腔中空氣層厚度為24 mm, 電容器油的聲阻抗為1.5×106, 電容器底面聲阻為4.5×107, 空氣聲阻抗為428.5, 空氣中的聲速為340 m/s。根據式 (1) 至式 (5) 求解得到:電容器單底面的隔聲量為32.44 d B, 而電容器底部隔聲腔的隔聲量為49.2 d B, 如果僅僅是考慮聲波透射的情況下, 電容器底部隔聲腔比電容器單底面隔聲效果增大了16.76 d B。
2 電容器底部隔聲腔隔聲仿真及優化分析
2.1 確定單臺電容器底部噪聲主要貢獻頻率
單臺電容器底部噪聲主要貢獻頻率一般是通過噪聲測試得到的, 圖2為電容器振動與噪聲測試方案圖, 施加的電流激勵為:基頻電流I1=45 A, 諧波電流為I2=18 A、I5=8 A和I11=3 A。其中, 測試設備為北京東方研究所開發的振動噪聲測試與分析系統。在本次振動與噪聲實驗中, 振動信號通道為2;同時噪聲信號通道為5。將圖2中兩個類型的傳感器采集得到的振動加速度和噪聲聲壓時域信號導入DASP中進行分析, 可以得到電容器底部噪聲頻譜圖, 如圖3所示。
從圖3可知, 電容器底部測點噪聲峰值集中在100 Hz、500 Hz、630 Hz、800 Hz和1 000 Hz, 因此可知, 單臺電容器在正常工況下電容器底部輻射噪聲貢獻頻率一般為100 Hz~1 000 Hz。

圖2 電容器振動與噪聲測試方案圖 ??下載原圖

圖3 電容器底部測點噪聲A計權聲壓級頻譜圖 ??下載原圖
2.2 電容器底部隔聲腔隔聲仿真分析
2.2.1 電容器底部隔聲腔有限元仿真模型
電容器底部隔聲腔結構的材料屬性如表1所示。電容器底部隔聲腔主要由六塊薄鋼板和空氣層組成。在有限元計算中, 為了保證數值計算結果的準確性和精度, 有必要對隔聲腔有限元網格按照有限元劃分要求進行劃分, 如表2所示, 隔聲腔結構網格和聲學網格如圖4所示。
表1 電容器底部隔聲腔結構的材料屬性 ?? 下載原表

2.2.2 電容器底部隔聲腔隔聲量計算
表2 隔聲腔網格劃分要求 ?? 下載原表

隔聲量是指由于物體的阻礙作用, 使得在金屬片兩邊產生的聲壓衰減, 金屬片可以有一片、兩片和多片組成。隔聲量的計算通常用的是聲音-固體耦合計算, 因此, 可以用耦合聲學有限元計算封閉空間的隔聲量[13]。本文在LMS Virtual Lab Acoustics中對隔聲腔結構網格進行直接聲振耦合計算, 將仿真得到的隔聲量與頻率之間的特性曲線采用頻譜修正。用1/3倍頻程來評價隔聲腔的隔聲性能, 與正常工況下電容器底部輻射噪聲貢獻頻率保持一致, 頻帶計算范圍設為100 Hz~1 000 Hz, 得到A計權隔聲量, 如圖5所示。
圖5 電容器底部隔聲腔隔聲量與噪聲頻率之間的特性曲線
從圖5可知, 隔聲腔在中高頻的隔聲量比低頻范圍的隔聲量要高, 并且隔聲腔的隔聲量在噪聲貢獻頻率為630 Hz處有一個峰值。
2.3 電容器隔聲腔尺寸D的優化分析
由式 (3) 可知, 隔聲腔尺寸D對于隔聲量有較大的影響, 因此, 有必要對隔聲腔尺寸D進行優化, 找到一種滿足工程應用要求的最優隔聲腔尺寸。本文在2.2.2所建立的有限元模型基礎上, 將隔聲腔有限元仿真模型導入到LMS Virtual Lab Optimization模塊中進行優化分析, 將隔聲腔尺寸D作為其優化目標, 利用DOE技術對其進行優化分析[13], 得到隔聲腔尺寸D優化結果。
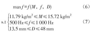
對隔聲腔D進行優化時, 選取的噪聲頻率范圍應與2.1節所確定的電容器底部噪聲貢獻頻率范圍相同。下面對隔聲腔尺寸D進行優化, 選取隔聲腔尺寸D和噪聲頻率f和面板質量M為設計變量, 生成可接受的隔聲腔直接聲振耦合響應模型, 并建立目標函數, 優化問題的數學表達式為

具體的隔聲腔優化流程為:
(1) 確定好隔聲腔尺寸D、噪聲頻率f和面板質量M三個設計變量, 采用間接法進行DOE分析;
(2) 建立隔聲腔直接聲振耦合響應模型;
(3) 建立目標函數, 確定隔聲腔尺寸D最優方案。
圖6為優化目標函數曲線。從圖中我們可以知道, 當隔聲腔尺寸D從13.5 mm至48 mm, 曲線經歷了增大-減小-增大的過程, 最終在隔聲腔尺寸D=23.5 mm時達到最優, 此時隔聲腔的隔聲量從16.1d B增大到23.6。通過對隔聲腔尺寸D進行優化后, 其隔聲腔比其他同等型號電容器底面噪聲降噪約7.5 d B。

圖6 優化目標函數曲線
3 電容器底部隔聲腔噪聲實驗對比
3.1 電容器底部隔聲腔隔聲量測試
以某型號電容器為實驗測試對象, 其實際加工的底部隔聲腔長寬尺寸為383 mm×197 mm, 隔聲腔尺寸D為35 mm, 鋼板厚度為2 mm, 測試標準按照GB/T32524.1-2016進行。電容器噪聲場點布置為:同時將五個聲壓傳感器布置在距離電容器各面1 m左右, 如圖7所示。

圖7 半消聲室內實驗設備布置圖 ??下載原圖
在半消聲室內施加電流激勵, 激勵參數為基波I1=79 A, 諧波為I5=1 A, I7=2 A, I11=31 A, I13=22 A, 采用北京東方研究所開發的振動與噪聲測試與分析系統進行測試, 半消聲室內背景噪聲值為20 d B。
由于本文首先研究對象是電容器底部隔聲腔隔聲量與噪聲頻率之間的關系, 所以先列出實測電容器底部隔聲腔隔聲量與噪聲頻率之間的特性曲線, 如圖8所示。
對比圖5和圖8可知, 本文所建立的隔聲腔有限元仿真模型的隔聲腔隔聲量與噪聲頻率之間的特性曲線與實測特性曲線變化趨勢保持一致, 而且均在630 Hz處達到隔聲量峰值。具體對比值見下表3, 仿真值與實測值均不超過2 d B, 在允許的誤差范圍內, 驗證了仿真模型的準確性。

圖8 實測電容器底部隔聲腔隔聲量與噪聲頻率之間的特性曲線 ??下載原圖

表3 電容器底部隔聲腔隔聲量仿真值與實測值對比 ?? 下載原表
3.2 電容器底部隔聲腔尺寸D測試
通過對隔聲腔尺寸D進行隔聲量測試, 其底部隔聲腔長寬尺寸為383 mm×197 mm, 隔聲腔尺寸D取值范圍為13.5 mm~48 mm, 鋼板厚度為2 mm。實驗條件同3.1節, 實驗分析得到實測隔聲腔尺寸與隔聲量之間特性曲線, 如圖9所示。

圖9 實測隔聲腔尺寸與隔聲量之間的特性曲線 ??下載原圖
對比圖6和圖9可知, 仿真優化和實測的隔聲腔尺寸與隔聲量特性曲線在噪聲頻率為630 Hz處變化趨勢基本一致。仿真峰值與實測峰值均不超過1d B, 誤差在允許的范圍內, 驗證了本文提出的隔聲腔優化方法的正確性。
4 結語
本文首先對電容器底部隔聲腔隔聲機理和設計理論進行分析;然后建立了隔聲腔有限元仿真模型, 并在LMS Virtual Lab Acoustics中使用直接有限元法對隔聲腔進行隔聲量計算;最后在LMS Virtual Lab Optimization模塊中采用DOE技術對隔聲腔尺寸D進行優化??梢缘贸鲆韵陆Y論:
(1) 對電容器底部隔聲腔有限元模型進行隔聲量計算, 其仿真結果與測試數據具有較高的吻合度, 驗證了模型的準確性。
(2) 提出LMS Virtual Lab優化模塊在產品設計中的應用, 并通過優化設計得出了隔聲腔的最優尺寸, 與實驗數據進行對比分析可知:優化后的隔聲腔能夠有效地降低電容器的輻射噪聲, 該應用對于隔聲腔尺寸優化設計具有一定的參考價值。




